
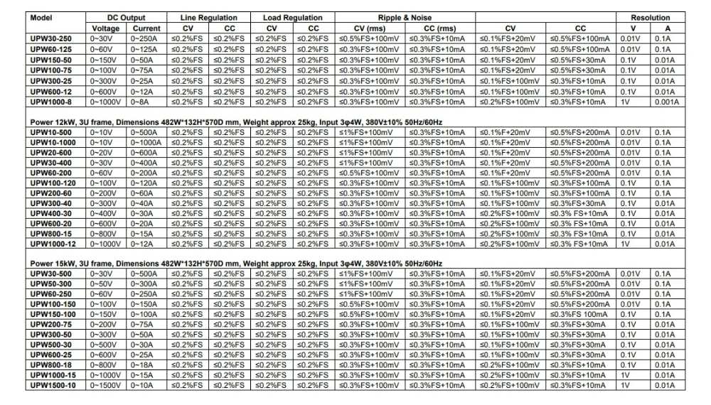
UPW 시리즈는 넓은 출력 범위를 커버하는 프로그래머블 스위칭 DC 전원공급장치로, 정격 출력은 1.2kW부터 100kW까지, 정격 전압은 최대 5000V, 정격 전류는 최대 10,000A까지 지원합니다.
UPW 시리즈는 IGBT 모듈 제어 및 PWM 변조 방식을 적용하여 높은 효율, 높은 정밀도, 그리고 우수한 안정성을 제공합니다. 또한 고이득 증폭기 회로 설계를 통해 빠른 응답 속도를 구현하였으며, 회로 개선을 통해 강력한 내노이즈(항간섭) 성능을 확보하였습니다.
능동형 공기 덕트 설계와 최적화된 냉각 채널 구조는 온도 상승을 효과적으로 억제합니다.
과전압 보호(OVP), 과전류 보호(OCP), 과온도 보호(OTP) 기능을 탑재하여 예기치 않은 상황에서도 UPW 시리즈와 부하를 안전하게 보호합니다. 보다 복잡한 응용 환경을 위해 원격 ON/OFF 제어, PV 커브 출력 등 다양한 옵션 기능도 제공됩니다.
UPW 시리즈는 고객 맞춤 사양으로 제작이 가능하오니, 자세한 사항은 별도로 문의해 주시기 바랍니다.
[ 주요 특징 ]
* 최대 출력 전압 5000V, 최대 출력 전류 10000A
* IGBT 모듈 및 19인치 표준 사이즈 적용
* 전압 및 전류에 대한 4자리 LCD 디스플레이
* 정전압 및 정전류 작동, 자동 CV/CC 스위치
* 전면 패널 작동: 사전 설정된 전압 및 전류, 출력 ON/OFF
* 다중 보호: OVP, OCP, OTP 및 OLP
* 과도 응답 시간 5ms
* 시동 중 오버슈트 없음
* 통신: RS232, RS485 및 LAN 인터페이스(1.2kW 및 1.8kW 모델에서는 LAN을 사용할 수 없음)
* 원격 감지 기능: 전압 강하를 보상합니다(300V 이하 모델에만 해당)
* 선택적 기능( 옵셔널 )
병렬 기능, 병렬 최대 8단위
리모컨: 출력 전압 및 전류 제어를 위한 0-5V, 0-10V 또는 4-20mA 신호
원격 ON/OFF 제어: 인터록 루프 또는 12V 입력 제어
역전류 보호: EUT로부터의 역전류에 의한 전원 공급의 손상으로부터 보호
역방향 극성 스위치: 양극 및 음극 출력 극성을 역방향으로 변경할 수 있도록 합니다
태양광 패널 시험을 위한 PV 곡선 출력
시스템 버스 인터페이스
사용자 지정 사양 및 기능 허용
[ 무료 PC소프트웨어 ]
전압, 전류 및 시간 설정 및 피드백, 데이터 기록, EXCEL 파일로 데이터 내보내기 등 다양한 원격 제어 및 샘플링 기능을 지원합니다.
또한 일반 모드(Normal Mode)와 사이클 모드(Cycle Mode) 운전을 지원합니다.
[ 시동 중 오버슈트 없음 ]
[ 1.2kW ~ 1.8kW 모델, cabinet size 1U half-width ]
[ 3.6kW ~6kW & 7.5kW 모델, cabinet size 2U ]
[ 12kW ~ 15kW 모델 cabinet size 3U ]
[ 주요 특징 ]
위 모델들은 참고용으로만 기재되어 있습니다. 주문제작 가능하며 문의주시기 바랍니다. 사양은 사전 공지 없이 변경될 수 있습니다.
사용후기가 없습니다.
상품문의가 없습니다.
|
배송 정보 |
㈜알앤디테크의 모든 상품은 평균 발송일을 명시하고 있습니다. 평균배송일 : 각 제품의 상품 페이지의 평균 발송일 또는 장바구니에서 확인 토/일요일, 휴일은 제외, 산간/도서지역 및 사서함 주소는 2~3일 추가 소요 * 일부 상품의 경우 재고 보유 상황에 따라서 평균 발송일이 다소 차이가 발생될 수 있으며, 여러품목 주문을 하신 경우 상품의 평균 발송일이 가장 늦은 상품의 발송일에 일괄 발송됩니다. 구입금액(공급가 기준) 10만원 이상 구매시 배송료 무료 (택배) / 구입금액 10만원 이하 구매시 택배비(무게,크기, 도선료/지역별 차등)가 추가됩니다.
* 로젠택배(1588-9988) 배송조회 * CJ대한통은(1588-1255) 배송조회 * 롯데 택배(1588-2121) 배송조회 |
|
|
|
||
|
교환 및 반품 |
* 제품을 사용했거나 고객 부주의로 인해 상품이 훼손된 경우는 반품 및 교환이 되지 않습니다. 상품박스, 본품, 케이스, 보증서, 매뉴얼, 악세사리등 모든 구성품을 보내주셔야 합니다. * 본품을 포함한 구성품(상품박사, 본품, 케잇, 보증서, 매뉴얼, 악세사리 등)이 훼손되어 상품의 가치가 상실된 경우는 교환 및 반품이 되지 않습니다. * 단순 변심 및 주문오류등으로 인한 교환은 상품수령일로부터 7일 이내에 미개봉, 미설치된 제품에 한하여 교환이 가능합니다. |
|
|
반품 불가능한 경우 |
주문제작 상품일 경우 반품 및 교환이 되지 않습니다. 구매전 데이타시트 등 충분히 검토해주시고 구매해 주시기 바랍니다. |
|
|
주의 사항 |
* 계측기의 경우 제조사에서 제공하는 대표이미지를 사용합니다. 제조사에서 제공하지 않는 모델은 사진과 다를 수 있으니 데이타시트를 확인해 주시기 바랍니다. 판단이 어려우실 경우 계측기 문의게시판에 내용을 남겨주시면 답변드립니다 * 대표이미지 오류로 인한 주문취소 및 반품, 교환은 불가능합니다. 예를들어, 제조사제공 썸네일 오실로스코프 4채널~6채널일 경우 대표썸네일은 6채널을 사용하나, 실제 모델은 2채널일 수 있으니 구매전 사양을 확인해 주시기 바랍니다. |
|
|
A/S정보 |
* 저희회사에서 구매하신 제품은 정품으로 본사 및 전문점에서 제품을 구입하신 날부터 1년간 무상 A/S를 받으실 수 있습니다. 1년후에는 유상 A/S처리됩니다
* 무상 A/S기간에 상관없이 고객의 부주의로 인한 파손은 유산 A/S(비용청구)로 처리됩니다. * A/S방법은 메일( sales@rndtech.co.kr)로 요청해주시고 택배, 퀵서비스 이용시 배송료는 본인 부담입니다. * A/S기간은 고장상태와 부품조달 관계로 1주~8주(최장)까지 걸릴 수 있습니다. |
|
|
|
||